一、引入

在传统的梯度下降优化算法中,如果碰到平缓区域,梯度值较小,参数优化变慢 ,遇到鞍点(是指在某些方向上梯度为零而在其他方向上梯度非零的点。),梯度为 0,参数无法优化,碰到局部最小值。实践中使用的小批量梯度下降法(mini-batch SGD)因其梯度估计的噪声性质,有时能够使模型脱离这些点。

💥为了克服这些困难,研究者们提出了多种改进策略,出现了一些对梯度下降算法的优化方法:Momentum、AdaGrad、RMSprop、Adam 等。

二、指数加权平均

我们最常见的算数平均指的是将所有数加起来除以数的个数,每个数的权重是相同的。加权平均指的是给每个数赋予不同的权重求得平均数。指数加权平均是一种数据处理方式,它通过对历史数据应用不同的权重来减少过去数据的影响,并强调近期数据的重要性。

[ vt = beta * v{t-1} + (1 - beta) * theta_t] 

比如:明天气温怎么样,和昨天气温有很大关系,而和一周前的气温关系就小一些。 

vt​ 是第 𝑡 天的平均温度值,𝜃𝑡​ 是第 𝑡t 天的实际观察值,而 𝛽 是一个可调节的超参数(通常 0<𝛽<1)。这个公式表明,当前的平均值是前一天平均值与当天实际值的加权平均。

  • β 调节权重系数,该值越大平均数越平缓。

 我们接下来通过一段代码来看下结果,随机产生进 30 天的气温数据:

import torch
import matplotlib.pyplot as plt
import os
os.environ['KMP_DUPLICATE_LIB_OK']='TRUE'


# 实际平均温度
def test01():

    # 固定随机数种子
    torch.manual_seed(0)

    # 产生30天的随机温度
    temperature = torch.randn(size=[30]) * 10
    print(temperature)

    # 绘制平均温度
    days = torch.arange(1, 31, 1)
    plt.plot(days, temperature, color='r')
    plt.scatter(days, temperature)
    plt.show()

# 指数加权平均温度
def test02(beta=0.8):

    # 固定随机数种子
    torch.manual_seed(0)
    # torch.initial_seed()
    # 产生30天的随机温度
    temperature = torch.randn(size=[30,]) * 10
    print(temperature)

    exp_weight_avg = []
    for idx, temp in enumerate(temperature, 1):

        # 第一个元素的的 EWA 值等于自身
        if idx == 1:
            exp_weight_avg.append(temp)
            continue

        # 第二个元素的 EWA 值等于上一个 EWA 乘以 β + 当前气氛乘以 (1-β)
        new_temp = exp_weight_avg[idx - 2] * beta + (1 - beta) * temp
        exp_weight_avg.append(new_temp)


    days = torch.arange(1, 31, 1)
    plt.plot(days, exp_weight_avg, color='r')
    plt.scatter(days, temperature)
    plt.show()


if __name__ == '__main__':

    test01()
    test02()

这是test01执行后产生的实际值: 

 我们再看一下指数平均后的值:

🔎指数加权平均绘制出的气氛变化曲线更加平缓; β 的值越大,则绘制出的折线越加平缓; 

三、Momentum

我们通过对指数加权平均的知识来研究Momentum优化方法💢

  • 鞍点:梯度为零的点,损失函数的梯度在所有方向上都接近或等于零。由于梯度为零,标准梯度下降法在此将无法继续优化参数。
  • 平缓区域:这些区域的梯度值较小,导致参数更新缓慢。虽然这意味着算法接近极小值点,但收敛速度会变得非常慢。

当梯度下降碰到 “峡谷” 、”平缓”、”鞍点” 区域时,参数更新速度变慢,Momentum 通过指数加权平均法,累计历史梯度值,进行参数更新,越近的梯度值对当前参数更新的重要性越大。

Momentum优化方法是对传统梯度下降法的一种改进:

Momentum优化算法的核心思想是在一定程度上积累之前的梯度信息,以此来调整当前的梯度更新方向。这种方法可以在一定程度上减少训练过程中的摆动现象,使得学习过程更加平滑,从而可能使用较大的学习率而不必担心偏离最小值太远。 

梯度计算公式:Dt = β * St-1 + (1- β) * Dt

在面对梯度消失、鞍点等问题时,Momentum能够改善SGD的表现,帮助模型跳出局部最小值或平坦区域;如果当处于鞍点位置时,由于当前的梯度为 0,参数无法更新。但是 Momentum梯度下降算法已经在先前积累了一些梯度值,很有可能使得跨过鞍点。

由于 mini-batch 普通的梯度下降算法,每次选取少数的样本梯度确定前进方向,可能会出现震荡,使得训练时间变长。Momentum 使用移动加权平均,平滑了梯度的变化,使得前进方向更加平缓,有利于加快训练过程。一定程度上有利于降低 “峡谷” 问题的影响。

Momentum方法的实现案例: 

import torch
import torch.nn as nn
import torch.optim as optim

# 定义模型
model = nn.Linear(10, 1)

# 定义损失函数
criterion = nn.MSELoss()

# 定义优化器,并设置momentum参数为0.9
optimizer = optim.SGD(model.parameters(), lr=0.01, momentum=0.9)

# 模拟数据
inputs = torch.randn(100, 10)
targets = torch.randn(100, 1)

# 训练模型
for epoch in range(10):
    # 前向传播
    outputs = model(inputs)
    loss = criterion(outputs, targets)

    # 反向传播和优化
    optimizer.zero_grad()
    loss.backward()
    optimizer.step()

    print('Epoch [{}/{}], Loss: {:.4f}'.format(epoch+1, 10, loss.item()))

Momentum 算法可以理解为是对梯度值的一种调整,我们知道梯度下降算法中还有一个很重要的学习率,Momentum 并没有学习率进行优化。 

四、AdaGrad

💥Momentum 算法是对梯度值调整,使得模型可以更好的进行参数更新,AdaGrad算法则是对学习率,即每次更新走的步长,进行调整更新~

AdaGrad 通过对不同的参数分量使用不同的学习率,AdaGrad 的学习率总体会逐渐减小,这是因为 AdaGrad算法认为:在起初时,我们距离最优目标仍较远,可以使用较大的学习率,加快训练速度,随着迭代次数的增加,学习率逐渐下降。

🗨️计算步骤如下:

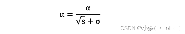
  1. 初始化学习率 α、初始化参数 θ、小常数 σ = 1e-6
  2. 初始化梯度累积变量 s = 0
  3. 从训练集中采样 m 个样本的小批量,计算梯度 g
  4. 累积平方梯度 s = s + g ⊙ g,⊙ 表示各个分量相乘

 

AdaGrad通过这种方式实现了对每个参数的个性化学习率调整,使得在参数空间较平缓的方向上可以取得更大的进步,而在陡峭的方向上则能够变得更加平缓,从而加快了训练速度( 如果累计梯度值s大的话,学习率就会小一点)        

使用Python实现AdaGrad算法的API代码:

import torch

class AdaGrad:
    def __init__(self, params, lr=0.01, epsilon=1e-8):
        self.params = list(params)
        self.lr = lr
        self.epsilon = epsilon
        self.cache = [torch.zeros_like(param) for param in self.params]

    def step(self):
        for i, param in enumerate(self.params):
            self.cache[i] += param.grad.data ** 2
            param.data -= self.lr * param.grad.data / (torch.sqrt(self.cache[i]) + self.epsilon)

💥AdaGrad 缺点是可能会使得学习率过早、过量的降低,导致模型训练后期学习率太小,较难找到最优解。

五、RMSProp

RMSProp(Root Mean Square Prop)是一种常用的自适应学习率优化算法,是对 AdaGrad 的优化,最主要的不同是,RMSProp使用指数移动加权平均梯度替换历史梯度的平方和。

  1. 初始化学习率 α、初始化参数 θ、小常数 σ = 1e-6
  2. 初始化参数 θ
  3. 初始化梯度累计变量 s
  4. 从训练集中采样 m 个样本的小批量,计算梯度 g
  5. 使用指数移动平均累积历史梯度

 

RMSProp 与 AdaGrad 最大的区别是对梯度的累积方式不同,对于每个梯度分量仍然使用不同的学习率。RMSProp 通过引入衰减系数 β,控制历史梯度对历史梯度信息获取的多少,使得学习率衰减更加合理一些。 

import numpy as np

def rmsprop(params, grads, learning_rate=0.01, decay_rate=0.9, epsilon=1e-8):
    cache = {}
    for key in params.keys():
        cache[key] = np.zeros_like(params[key])

    for key in params.keys():
        cache[key] = decay_rate * cache[key] + (1 - decay_rate) * grads[key] ** 2
        params[key] -= learning_rate * grads[key] / (np.sqrt(cache[key]) + epsilon)

    return params

params是一个字典,包含了模型的参数;grads是一个字典,包含了参数对应的梯度;learning_rate是学习率;decay_rate是衰减系数;epsilon是一个很小的正数,用于防止除以零。

六、Adam 

💯Adam 结合了两种优化算法的优点:RMSProp(Root Mean Square Prop)和Momentum。Adam在深度学习中被广泛使用,因为它能够自动调整学习率,特别适合处理大规模数据集和复杂模型。

Adam的关键特点:

  1. 一阶矩估计(First Moment):梯度的均值,类似于Momentum中的velocity term,用于指示梯度在何时变得非常剧烈。

  2. 二阶矩估计(Second Moment):梯度的未中心化方差,类似于RMSProp中的平方梯度的指数移动平均值,用于指示梯度变化的范围。

我们在平时使用中会经常用到次方法,在PyTorch中就是optim.Adam方法,不再是optim.SGD方法:

import torch
import torch.nn as nn
import torch.optim as optim

# 定义一个简单的线性模型
class SimpleModel(nn.Module):
    def __init__(self):
        super(SimpleModel, self).__init__()
        self.linear = nn.Linear(10, 1)  # 假设输入维度是10,输出维度是1

    def forward(self, x):
        return self.linear(x)

# 创建模型实例
model = SimpleModel()

# 定义损失函数
criterion = nn.MSELoss()  # 均方误差损失函数

# 创建优化器,设定学习率为0.001,参数beta1默认为0.9,beta2默认为0.999
optimizer = optim.Adam(model.parameters(), lr=0.001)

# 假设有一个输入数据x和对应的目标y
x = torch.randn(32, 10)  # 批量大小为32,每个样本的输入维度是10
y = torch.randn(32, 1)   # 批量大小为32,每个样本的输出维度是1

# 前向传播
outputs = model(x)

# 计算损失
loss = criterion(outputs, y)

# 清空之前所有的梯度
optimizer.zero_grad()

# 反向传播
loss.backward()

# 更新模型参数
optimizer.step()

# 打印损失值
print("Loss: ", loss.item())
Logo

技术共进,成长同行——讯飞AI开发者社区

更多推荐