输入层到第一层

从输入层到第1层的第1个神经元的信号传递过程,如下图所示:
在这里插入图片描述
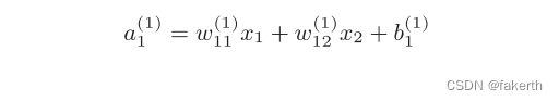
现在用数学式表示 a1(1) 。 a1(1)通过加权信号和偏置的和按如下方式进行计算。
在这里插入图片描述
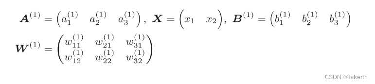
使用矩阵的乘法运算,可以将第一层的加权和表示成:A(1) =XW(1)+ B(1)。其中, A(1) 、X、B(1) 、W(1) 如下所示:
在这里插入图片描述
从输入层到第一层的信号传递:
在这里插入图片描述
隐藏层的加权和(加权信号和偏置的总和)用a表示,被激活函数转换后的信号用z表示。此外,图中h()表示激活函数,这里我们使用的是sigmoid函数。用Python来实现,代码如下所示:

import numpy as np


def sigmoid(x):
    return 1 / (1 + np.exp(-x))


X = np.array([1.0, 0.5])
W1 = np.array([[0.1, 0.3, 0.5], [0.2, 0.4, 0.6]])
B1 = np.array([0.1, 0.2, 0.3])

print(W1.shape)  # (2, 3)
print(X.shape)  # (2,)
print(B1.shape)  # (3,)

A1 = np.dot(X, W1) + B1
Z1 = sigmoid(A1)

print(A1)  # [0.3, 0.7, 1.1]
print(Z1)  # [0.57444252, 0.66818777, 0.75026011]
第一层到第二层的信号传递

除了第1层的输出(Z1)变成了第2层的输入这点以外,这个实现和刚才完全相同。
在这里插入图片描述
实现如下:

W2 = np.array([[0.1, 0.4], [0.2, 0.5], [0.3, 0.6]])
B2 = np.array([0.1, 0.2])

print(Z1.shape) # (3,)
print(W2.shape) # (3, 2)
print(B2.shape) # (2,)

A2 = np.dot(Z1, W2) + B2
Z2 = sigmoid(A2)
第二层到输出层的信号传递

输出层的实现也和之前的实现基本相同。不过,最后的激活函数和之前的隐藏层有所不同。这里我们定义了identity_function()函数(也称为“恒等函数”),并将其作为输出层的激活函数。恒等函数会将输入按原样输出,因此,这个例子中没有必要特意定义identity_function()。这里这样实现只是为了和之前的流程保持统一。另外,下图中,输出层的激活函数用σ()表示,不同于隐藏层的激活函数h()(σ读作sigma)
在这里插入图片描述
实现如下:

def identity_function(x):
    return x


W3 = np.array([[0.1, 0.3], [0.2, 0.4]])
B3 = np.array([0.1, 0.2])
A3 = np.dot(Z2, W3) + B3
Y = identity_function(A3)  # 或者Y = A3

输出层所用的激活函数,要根据求解问题的性质决定。一般地,回归问题可以使用恒等函数,二元分类问题可以使用 sigmoid函数,多元分类问题可以使用 softmax函数。

总结

至此,我们已经介绍完了3层神经网络的实现。把之前的代码实现全部整理一下。这里,我们按照神经网络的实现惯例,只把权重记为大写字母W1,其他的(偏置或中间结果等)都用小写字母表示。这里定义了init_network()和forward()函数。init_network()函数会进行权重和偏置的初始化,并将它们保存在字典变量network中。这个字典变量network中保存了每一层所需的参数(权重和偏置)。forward()函数中则封装了将输入信号转换为输出信号的处理过程。forward(前向)它表示的是从输入到输出方向的传递处理。

import numpy as np


def identity_function(x):
    return x


def sigmoid(x):
    return 1 / (1 + np.exp(-x))


def init_network():
    network = {}
    network['W1'] = np.array([[0.1, 0.3, 0.5], [0.2, 0.4, 0.6]])
    network['b1'] = np.array([0.1, 0.2, 0.3])
    network['W2'] = np.array([[0.1, 0.4], [0.2, 0.5], [0.3, 0.6]])
    network['b2'] = np.array([0.1, 0.2])
    network['W3'] = np.array([[0.1, 0.3], [0.2, 0.4]])
    network['b3'] = np.array([0.1, 0.2])
    return network


def forward(network, x):
    W1, W2, W3 = network['W1'], network['W2'], network['W3']
    b1, b2, b3 = network['b1'], network['b2'], network['b3']
    a1 = np.dot(x, W1) + b1
    z1 = sigmoid(a1)
    a2 = np.dot(z1, W2) + b2
    z2 = sigmoid(a2)
    a3 = np.dot(z2, W3) + b3
    y = identity_function(a3)
    return y


network = init_network()
x = np.array([1.0, 0.5])
y = forward(network, x)
print(y)  # [ 0.31682708 0.69627909]
Logo

技术共进,成长同行——讯飞AI开发者社区

更多推荐