Learning note

1. Maching learning

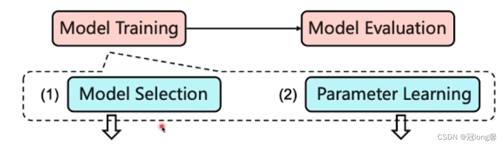
(1)Workflow
在这里插入图片描述

(2)Model
在这里插入图片描述

在这里插入图片描述

①Linear regression

  • Model:
    y i = F ( x i ) = w x i y_i = F(x_i)=wx_i yi=F(xi)=wxi
  • Optimization: squared error
    min ⁡ w ∑ i = 1 n ( y i − w x i ) 2 \min_w \sum_{i=1}^n (y_i - wx_i)^2 wmini=1n(yiwxi)2
    在这里插入图片描述
  • Evaluation
    在这里插入图片描述

②Decision Tree
在这里插入图片描述

  • Model
    在这里插入图片描述
  • Example
    在这里插入图片描述
    在这里插入图片描述
    其中, c 1 , c 2 c_1, c_2 c1,c2分别是按照划分点s划分后两个类别的样本在所划分属性上各自的均值。

③Nearest-Neighbor Classifiers
在这里插入图片描述

  • Distance
    在这里插入图片描述
  • Classification
    在这里插入图片描述

④Logistic regression
在这里插入图片描述

  • Optimization
    在这里插入图片描述
    在这里插入图片描述
    P ( y = 1 ∣ x , w ) P ( y = 0 ∣ x , w ) = 1 1 − P ( y = 1 ∣ x , w ) − 1 \frac{P(y=1|x,w)}{P(y=0|x,w)} = \frac{1}{1-P(y=1|x,w)}-1 P(y=0∣x,w)P(y=1∣x,w)=1P(y=1∣x,w)11

(3)Data
①Distribution
在这里插入图片描述
在这里插入图片描述

  • Testing and Training Dataset
  • Observed and Real Dataset (hard to control)

②Sample complexity
在这里插入图片描述
在这里插入图片描述

其中, ϵ \epsilon ϵ可以理解为精度、 1 − δ 1-\delta 1δ理解为置信度、 V S H , D VS_{H,D} VSH,D是所有满足精度与置信度条件 ϵ − e x h a u s t e d \epsilon - exhausted ϵexhausted的模型集合。当置信度越高、精度越高时,所需要的训练样本数量 m m m增加。

2. Deep Learning

(1)Forward
在这里插入图片描述
在这里插入图片描述


(2)Backward
在这里插入图片描述
在这里插入图片描述
在这里插入图片描述
在这里插入图片描述
在这里插入图片描述
在这里插入图片描述
在这里插入图片描述
在这里插入图片描述


(3)RNN
在这里插入图片描述
在这里插入图片描述
在这里插入图片描述
在这里插入图片描述


(4)LSTM
在这里插入图片描述
在这里插入图片描述


(5)GRU
在这里插入图片描述

Logo

技术共进,成长同行——讯飞AI开发者社区

更多推荐