神经网络的学习步骤

神经网络的学习分成下面4个步骤:

步骤1(mini-batch)

从训练数据中随机选出一部分数据,这部分数据称为mini-batch。我们的目标是减小mini-batch的损失函数的值。

步骤2(计算梯度)

为了减小mini-batch的损失函数的值,需要求出各个权重参数的梯度。梯度表示损失函数的值减小最多的方向。

步骤3(更新参数)

将权重参数沿梯度方向进行微小更新。

步骤4(重复)

重复步骤1、步骤2、步骤3。

神经网络的学习按照上面4个步骤进行。这个方法通过梯度下降法更新参数,不过因为这里使用的数据是随机选择的mini batch数据,所以又称为随机梯度下降法(stochastic gradient descent)。“随机”指的是“随机选择的”的意思,因此,随机梯度下降法是“对随机选择的数据进行的梯度下降法”。我们这里以2层神经网络(隐藏层为1层的网络)为对象,使用MNIST数据集进行学习。

2层神经网络的类

首先初始化权重,初始化两层权重和偏置。params[‘W1’]是第1层的权重,params[‘b1’]是第1层的偏置。params[‘W2’]是第2层的权重,params[‘b2’]是第2层的偏置。

def __init__(self, input_size, hidden_size, output_size, weight_init_std=0.01):
    # 初始化权重
    self.params = {'W1': weight_init_std * np.random.randn(input_size, hidden_size), 'b1': np.zeros(hidden_size),
                   'W2': weight_init_std * np.random.randn(hidden_size, output_size), 'b2': np.zeros(output_size)}

接下来进行推理(识别),sigmoid是第一层的激活函数,softmax是输出层的激活函数。如果需要设置多层神经网络就多初始化几层权重和偏置,这里多加几层推理(识别)。

def predict(self, x):
    W1, W2 = self.params['W1'], self.params['W2']
    b1, b2 = self.params['b1'], self.params['b2']
    a1 = np.dot(x, W1) + b1
    z1 = sigmoid(a1)
    a2 = np.dot(z1, W2) + b2
    y = softmax(a2)
    return y

损失函数,梯度,识别精度不过多介绍。训练完成后保存训练参数,以及测试泛化能力读取训练参数。

def save_params(self, file_name="params.pkl"):
    params = {}
    for key, val in self.params.items():
        params[key] = val
    with open(file_name, 'wb') as f:
        pickle.dump(params, f)

def load_params(self, file_name="params.pkl"):
    with open(file_name, 'rb') as f:
        params = pickle.load(f)
    for key, val in params.items():
        self.params[key] = val

完整实现如下:

# coding: utf-8
import pickle
import sys, os

sys.path.append(os.pardir)  # 为了导入父目录的文件而进行的设定
from common.functions import *
from common.gradient import numerical_gradient


class TwoLayerNet:

    def __init__(self, input_size, hidden_size, output_size, weight_init_std=0.01):
        # 初始化权重
        self.params = {'W1': weight_init_std * np.random.randn(input_size, hidden_size), 'b1': np.zeros(hidden_size),
                       'W2': weight_init_std * np.random.randn(hidden_size, output_size), 'b2': np.zeros(output_size)}

    def predict(self, x):
        W1, W2 = self.params['W1'], self.params['W2']
        b1, b2 = self.params['b1'], self.params['b2']
        a1 = np.dot(x, W1) + b1
        z1 = sigmoid(a1)
        a2 = np.dot(z1, W2) + b2
        y = softmax(a2)

        return y

    # x:输入数据, t:监督数据
    def loss(self, x, t):
        y = self.predict(x)

        return cross_entropy_error(y, t)

    def accuracy(self, x, t):
        y = self.predict(x)
        y = np.argmax(y, axis=1)
        t = np.argmax(t, axis=1)

        accuracy = np.sum(y == t) / float(x.shape[0])
        return accuracy

    # x:输入数据, t:监督数据
    def numerical_gradient(self, x, t):
        loss_W = lambda W: self.loss(x, t)

        grads = {'W1': numerical_gradient(loss_W, self.params['W1']),
                 'b1': numerical_gradient(loss_W, self.params['b1']),
                 'W2': numerical_gradient(loss_W, self.params['W2']),
                 'b2': numerical_gradient(loss_W, self.params['b2'])}

        return grads

    def gradient(self, x, t):
        W1, W2 = self.params['W1'], self.params['W2']
        b1, b2 = self.params['b1'], self.params['b2']
        grads = {}

        batch_num = x.shape[0]

        # forward
        a1 = np.dot(x, W1) + b1
        z1 = sigmoid(a1)
        a2 = np.dot(z1, W2) + b2
        y = softmax(a2)

        # backward
        dy = (y - t) / batch_num
        grads['W2'] = np.dot(z1.T, dy)
        grads['b2'] = np.sum(dy, axis=0)

        da1 = np.dot(dy, W2.T)
        dz1 = sigmoid_grad(a1) * da1
        grads['W1'] = np.dot(x.T, dz1)
        grads['b1'] = np.sum(dz1, axis=0)

        return grads

    def save_params(self, file_name="params.pkl"):
        params = {}
        for key, val in self.params.items():
            params[key] = val
        with open(file_name, 'wb') as f:
            pickle.dump(params, f)

    def load_params(self, file_name="params.pkl"):
        with open(file_name, 'rb') as f:
            params = pickle.load(f)
        for key, val in params.items():
            self.params[key] = val
学习MNIST

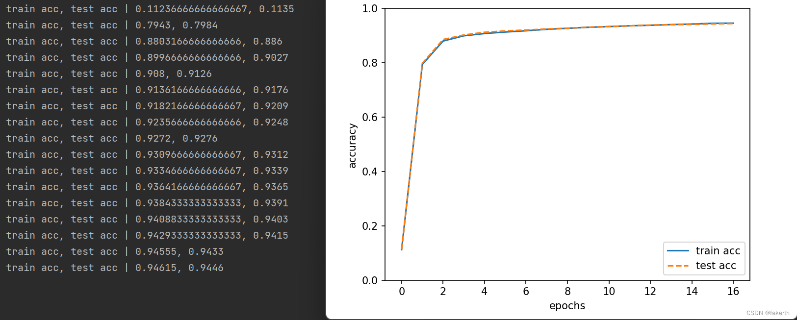
从训练数据中随机选出一部分数据,求出各个权重参数的梯度,梯度表示损失函数的值减小最多的方向,将权重参数沿梯度方向进行微小更新,重复这个过程。神经网络学习的最初目标是掌握泛化能力,因此,要评价神经网络的泛化能力,就必须使用不包含在训练数据中的数据。在进行学习的过程中,会定期地对训练数据和测试数据记录识别精度。这里,每经过一个epoch,我们都会记录下训练数据和测试数据的识别精度。细思极恐,这只有两层神经网络,识别率到了0.94。

在这里插入图片描述

学习代码如下:

# coding: utf-8
import os
import sys

sys.path.append(os.pardir)  # 为了导入父目录的文件而进行的设定
import numpy as np
import matplotlib.pyplot as plt
from dataset.mnist import load_mnist
from two_layer_net import TwoLayerNet

# 读入数据
(x_train, t_train), (x_test, t_test) = load_mnist(normalize=True, one_hot_label=True)

network = TwoLayerNet(input_size=784, hidden_size=50, output_size=10)

iters_num = 10000  # 适当设定循环的次数
train_size = x_train.shape[0]
batch_size = 100
learning_rate = 0.1

train_loss_list = []
train_acc_list = []
test_acc_list = []

iter_per_epoch = max(train_size / batch_size, 1)

for i in range(iters_num):
    batch_mask = np.random.choice(train_size, batch_size)
    x_batch = x_train[batch_mask]
    t_batch = t_train[batch_mask]

    # 计算梯度
    # grad = network.numerical_gradient(x_batch, t_batch)
    grad = network.gradient(x_batch, t_batch)

    # 更新参数
    for key in ('W1', 'b1', 'W2', 'b2'):
        network.params[key] -= learning_rate * grad[key]

    loss = network.loss(x_batch, t_batch)
    train_loss_list.append(loss)

    if i % iter_per_epoch == 0:
        train_acc = network.accuracy(x_train, t_train)
        test_acc = network.accuracy(x_test, t_test)
        train_acc_list.append(train_acc)
        test_acc_list.append(test_acc)
        print("train acc, test acc | " + str(train_acc) + ", " + str(test_acc))


# 保存参数
network.save_params("params.pkl")
print("Saved Network Parameters!")

# 绘制图形
markers = {'train': 'o', 'test': 's'}
x = np.arange(len(train_acc_list))
plt.plot(x, train_acc_list, label='train acc')
plt.plot(x, test_acc_list, label='test acc', linestyle='--')
plt.xlabel("epochs")
plt.ylabel("accuracy")
plt.ylim(0, 1.0)
plt.legend(loc='lower right')
plt.show()
测试泛化能力

训练好的参数总得拿出来用一用吧,对于mnist测试数据和训练数据直接导入参数文件,推理(识别)就行了。

def train_img():
    (x_train, t_train), (x_test, t_test) = load_mnist(flatten=True, normalize=False)
    network = TwoLayerNet(input_size=784, hidden_size=50, output_size=10)
    network.load_params("params.pkl")
    img = x_train[2]
    label = t_train[2]
    a = network.predict(img)
    ans = np.argmax(np.array(a))
    print("训练集图片预测值:", ans, "标签值:", label)
    # img = img.reshape(28, 28)  # 把图像的形状变为原来的尺寸
    # img_show(img)  # 显示图像


def test_img():
    (x_train, t_train), (x_test, t_test) = load_mnist(flatten=True, normalize=False)
    network = TwoLayerNet(input_size=784, hidden_size=50, output_size=10)
    network.load_params("params.pkl")
    img = x_test[2]
    label = t_test[2]
    a = network.predict(img)
    ans = np.argmax(np.array(a))
    print("测试集图片预测值:", ans, "标签值:", label)
    # img = img.reshape(28, 28)  # 把图像的形状变为原来的尺寸
    # img_show(img)  # 显示图像

为什么不测试一下自己手写的呢?自己手写了10个数字。

在这里插入图片描述

对于自己手写的图片要进行处理。首先从RBG和BGR颜色空间转换到灰度空间;然后利用阈值,根据设定的值处理图像的灰度值去除背景;再然后,腐蚀毛刺;再利用阈值,根据设定的值处理图像的灰度值实现黑白反转(我们手写的数字是黑的,而训练用的黑色背景白色字体);最后缩小成28*28。因为我很少接触过图像处理,凭感觉觉得最后缩小图片比开始缩小图片处理的效果好。

def else_img(filename, img_width, img_height, threshold, kernel_size):  # 测试模型的泛化能力
    network = TwoLayerNet(input_size=784, hidden_size=50, output_size=10)
    network.load_params("params.pkl")
    img_original = cv2.imread(filename)
    # img_show(img_original)
    # img = cv2.resize(img_original, (img_width, img_width), fx=1, fy=1)  # 图片缩放 11缩放
    img_gray = cv2.cvtColor(img_original, cv2.COLOR_BGR2GRAY)  # 从RBGBGR颜色空间转换到灰度空间
    # img_show(img_gray)
    ret, thresh2 = cv2.threshold(img_gray, threshold, 255, cv2.THRESH_BINARY)  # 像素值>threshold设为255 其他0
    # 阈值的作用是根据设定的值处理图像的灰度值,比如灰度大于某个数值像素点保留。通过阈值以及有关算法可以实现从图像中抓取特定的图形,比如去除背景等。
    # img_show(thresh2)
    kernel = np.ones(kernel_size, np.uint8)
    thresh2 = cv2.erode(thresh2, kernel, iterations=1)
    # img_show(thresh2)
    # 腐蚀毛刺   膨胀用来处理缺陷问题;  腐蚀用来处理毛刺问题
    ret, thresh2 = cv2.threshold(thresh2, threshold, 255, cv2.THRESH_BINARY_INV)  # 像素值>threshold设为0 其他255
    # img_show(thresh2)
    thresh2 = cv2.resize(thresh2, (img_width, img_width), fx=1, fy=1)  # 图片缩放 11缩放
    thresh2 = thresh2.reshape(1, img_width * img_width)
    network.load_params("params.pkl")
    a = network.predict(thresh2)
    label = np.argmax(np.array(a))
    return label

最后的识别结果如下,手写的10个数字错了3个,图像处理的问题应该也占了一部分原因。

在这里插入图片描述

改用这10个数字试一下,手写的10个数字错了2个,而且是易混的错。9和0,1和7,毕竟只有两层,这种效果很可以了。

在这里插入图片描述
在这里插入图片描述

完整程序实现如下:

import cv2
import numpy as np
# coding: utf-8
import os
import sys

sys.path.append(os.pardir)  # 为了导入父目录的文件而进行的设定
import numpy as np
from dataset.mnist import load_mnist
from PIL import Image

from two_layer_net import TwoLayerNet


def img_show(img):
    pil_img = Image.fromarray(np.uint8(img))
    pil_img.show()


def train_img():
    (x_train, t_train), (x_test, t_test) = load_mnist(flatten=True, normalize=False)
    network = TwoLayerNet(input_size=784, hidden_size=50, output_size=10)
    network.load_params("params.pkl")
    img = x_train[2]
    label = t_train[2]
    a = network.predict(img)
    ans = np.argmax(np.array(a))
    print("训练集图片预测值:", ans, "标签值:", label)
    # img = img.reshape(28, 28)  # 把图像的形状变为原来的尺寸
    # img_show(img)  # 显示图像


def test_img():
    (x_train, t_train), (x_test, t_test) = load_mnist(flatten=True, normalize=False)
    network = TwoLayerNet(input_size=784, hidden_size=50, output_size=10)
    network.load_params("params.pkl")
    img = x_test[2]
    label = t_test[2]
    a = network.predict(img)
    ans = np.argmax(np.array(a))
    print("测试集图片预测值:", ans, "标签值:", label)
    # img = img.reshape(28, 28)  # 把图像的形状变为原来的尺寸
    # img_show(img)  # 显示图像


def else_img(filename, img_width, img_height, threshold, kernel_size):  # 测试模型的泛化能力
    network = TwoLayerNet(input_size=784, hidden_size=50, output_size=10)
    network.load_params("params.pkl")
    img_original = cv2.imread(filename)
    # img_show(img_original)
    # img = cv2.resize(img_original, (img_width, img_width), fx=1, fy=1)  # 图片缩放 11缩放
    img_gray = cv2.cvtColor(img_original, cv2.COLOR_BGR2GRAY)  # 从RBGBGR颜色空间转换到灰度空间
    # img_show(img_gray)
    ret, thresh2 = cv2.threshold(img_gray, threshold, 255, cv2.THRESH_BINARY)  # 像素值>threshold设为255 其他0
    # 阈值的作用是根据设定的值处理图像的灰度值,比如灰度大于某个数值像素点保留。通过阈值以及有关算法可以实现从图像中抓取特定的图形,比如去除背景等。
    # img_show(thresh2)
    kernel = np.ones(kernel_size, np.uint8)
    thresh2 = cv2.erode(thresh2, kernel, iterations=1)
    # img_show(thresh2)
    # 腐蚀毛刺   膨胀用来处理缺陷问题;  腐蚀用来处理毛刺问题
    ret, thresh2 = cv2.threshold(thresh2, threshold, 255, cv2.THRESH_BINARY_INV)  # 像素值>threshold设为0 其他255
    # img_show(thresh2)
    thresh2 = cv2.resize(thresh2, (img_width, img_width), fx=1, fy=1)  # 图片缩放 11缩放
    thresh2 = thresh2.reshape(1, img_width * img_width)
    a = network.predict(thresh2)
    label = np.argmax(np.array(a))
    return label


def deal_img2(filename):
    img = cv2.imread(filename)
    img_gray = cv2.cvtColor(img, cv2.COLOR_BGR2GRAY)  # 从RBGBGR颜色空间转换到灰度空间
    thresh2 = cv2.resize(img_gray, (28, 28), fx=1, fy=1)  # 图片缩放 11缩放
    thresh2 = thresh2.reshape(1, 28 * 28)
    return thresh2


def else_img2(filename):
    network = TwoLayerNet(input_size=784, hidden_size=50, output_size=10)
    network.load_params("params.pkl")
    img_out = deal_img2(filename)
    a = network.predict(img_out)
    label = np.argmax(np.array(a))
    return label


test_img()
train_img()

t = np.arange(10)
x = ["0.png", "1.png", "2.png", "3.png", "4.png", "5.png", "6.png", "7.png", "8.png", "9.png"]
x1 = ["10.png", "11.png", "12.png", "13.png", "14.png", "15.png", "16.png", "17.png", "18.png", "19.png"]


for i in range(0, 10):
    print("手写集图片预测值:", else_img(x[i], 28, 28, 127, (3, 3)), "标签值:", t[i])

for i in range(0, 10):
    print("手写集图片预测值:", else_img2(x1[i]), "标签值:", t[i])

Logo

技术共进,成长同行——讯飞AI开发者社区

更多推荐