卷积神经网络之卷积操作的计算详解(总结)
输入图像为正方形输入图像为矩形卷积操作的三种模式池化操作空洞卷积1.图像为正方形W:输入图像尺寸F:卷积核大小P:padding填充S:为步长N:卷积后输出的图像尺寸2.图像为矩形,输入尺寸为W×H3.卷积操作的三种模式3.1Full mode:遇到第一个像素就开始卷积,full模式卷积后的图像大小为其中,步长为1,图片大小为N1xN1,卷积核大小为N2xN2,卷积后图像大小:(N1+N2-1)
·
目录
1. 输入图像为正方形
2. 输入图像为矩形
3. 卷积操作的三种模式
4. 池化操作
5. 空洞卷积
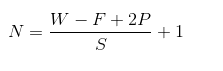
1.图像为正方形
W:输入图像尺寸
F:卷积核大小
P:padding填充
S:为步长
N:卷积后输出的图像尺寸
2.图像为矩形,输入尺寸为W×H
3.卷积操作的三种模式
3.1Full mode :遇到第一个像素就开始卷积,full模式卷积后的图像大小为
其中,步长为1,图片大小为N1xN1,卷积核大小为N2xN2,卷积后图像大小:(N1+N2-1) x (N1+N2-1)
3.2Same mode : 返回卷积中心大小与输入图像的中心部分,same模式卷积后的图像大小为
其中,步长为1,图片大小为N1xN1,卷积核大小为N2xN2,卷积后图像大小为:N1×N1(步长为1,卷积后大小不变)
3.3Vaild mode : 滑动步长为S,图片大小为N1xN1,卷积核大小为N2xN2,卷积后图像大小:(N1-N2)/S+1 ,padding为0
4.池化操作
池化操作后图像尺寸如下:
W:为图像宽
H:为图像高
F:为卷积核尺寸
S:为步长
D:为图像深度(通道数)
[若有余数,则向下取整]
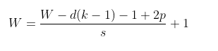
5.空洞卷积
d:为空洞卷积的空洞率
p:为padding
K:为卷积核的尺寸
S:为步长
更多推荐
所有评论(0)