Pytorch CIFAR10图像分类 ZFNet篇


再次介绍一下我的专栏,很适合大家初入深度学习或者是Pytorch和Keras,希望这能够帮助初学深度学习的同学一个入门Pytorch或者Keras的项目和在这之中更加了解Pytorch&Keras和各个图像分类的模型。

他有比较清晰的可视化结构和架构,除此之外,我是用jupyter写的,所以说在文章整体架构可以说是非常清晰,可以帮助你快速学习到各个模块的知识,而不是通过python脚本一行一行的看,这样的方式是符合初学者的。

除此之外,如果你需要变成脚本形式,也是很简单的。
这里贴一下汇总篇:汇总篇

4. 定义网络(ZFNet)

ZFNet介绍

首先简单介绍一下ZFNet吧,ZFNet来源于2013的Matthew D. Zeiler和Rob Fergus的Visualizing and Understanding Convolutional Networks论文,为什么叫ZFNet也很简单,作者的两个名的首字母加起来就是啦,这里也给出论文地址,有兴趣可以看看论文https://arxiv.org/abs/1311.2901v3

在 2013 年 ImageNet 大规模视觉识别挑战赛 (ILSVRC) 中,ZFNet 比 AlexNet 有了显着改进,成为众人瞩目的焦点。 这篇论文是非常重要的基石,它提供了许多概念的起点,例如深度特征可视化、特征不变性、特征演化和特征重要性。

在我看来,他在深度学习初期描述了几个很重要的点

  • 提出了ZFNet,一种比AlexNet性能更好的网络架构
  • 与其在模型中不断试错,不如可视化了中间的feature maps,进行了深度特征可视化,并据此来分析和理解网络
  • 进行了许多的消融实验,让CNN的解释性更加形象化,还做了很多特征演化的实验,都是非常好的。
  • 探究了预训练大模型的泛化能力,可以进行fine tuning,类似于迁移学习

实际上来说,在近期的发展来说,我们也知道,海量数据,大模型是一种趋势,早在2013年的时候,实际上大家就已经知道预训练大模型,然后迁移到其他相关任务上是非常有用的,即使放在现在来看,我认为这些任务都是make sense的。

img

ZFNet结构

实际上的ZFNet是改进了一下AlexNet,第一个11x11的卷积核换为了7x7的卷积核,并且步长从4换成了2,为什么这样做呢,实际上是因为,作者通过对AlexNet的特征进行可视化,文章作者发现第2层出现了aliasing,有些卷积核是无效的,而换成7x7后,无效的卷积核少了,并且步长为4的时候,会出现一些网格状的feature map,这是不利于网络进行学习和判断的,所以也将步长为4换成了2。

img

最后可以总结一下ZFNet的改进

  • 第1个卷积层,kernel size从11减小为7,将stride从4减小为2(这将导致feature map增大1倍)
  • 为了让后续feature map的尺寸保持一致,第2个卷积层的stride从1变为2

img

判断是否使用GPU

首先我们还是得判断是否可以利用GPU,因为GPU的速度可能会比我们用CPU的速度快20-100倍左右,特别是对卷积神经网络来说,更是提升特别明显。

device = 'cuda' if torch.cuda.is_available() else 'cpu'

在定义的时候,为了和论文中的一样,虽然我这里不做反卷积的可视化,但是为了大家可视化ZFNet的feature map,我还是实现了论文中的Switch,他可以记录Maxpool后的最大值的位置,以方便反卷积的时候复原,恢复到原来的像素空间,到我们可以理解的空间中去

class ZFNet(nn.Module):
    def __init__(self, num_classes=10):
        super(ZFNet, self).__init__()

        self.features = nn.Sequential(
            # layer 1
            nn.Conv2d(3, 96, kernel_size=7, stride=2, padding=1),
            nn.ReLU(inplace=True),
            # Local contrast norm.
            nn.MaxPool2d(kernel_size=3, stride=2, padding=1, return_indices=True), # return_indices – if True, will return the max indices along with the outputs. Useful for torch.nn.MaxUnpool2d later

            # layer 2
            nn.Conv2d(96, 256, kernel_size=5, stride=2),
            nn.ReLU(inplace=True),
            nn.MaxPool2d(kernel_size=3, stride=2, padding=1, return_indices=True),

            # layer 3
            nn.Conv2d(256, 384, kernel_size=3, stride=1, padding=1),
            nn.ReLU(inplace=True),

            # layer 4
            nn.Conv2d(384, 384, kernel_size=3, stride=1, padding=1),
            nn.ReLU(inplace=True),

            # layer 5
            nn.Conv2d(384, 256, kernel_size=3, stride=1, padding=1),
            nn.ReLU(inplace=True),
            nn.MaxPool2d(kernel_size=3, stride=2, return_indices=True),
        )
        self.classifier = nn.Sequential(
            # layer 6
            nn.Linear(9216, 4096),
            nn.ReLU(inplace=True),
            nn.Dropout(),

            # layer 7
            nn.Linear(4096, 4096),
            nn.ReLU(inplace=True),
            nn.Dropout(),

            nn.Linear(4096, num_classes),
        )

        self.feature_outputs = [0]*len(self.features)
        self.switch_indices = dict()
        self.sizes = dict()

    def forward(self, x):

        for i, layer in enumerate(self.features):
            if isinstance(layer, nn.MaxPool2d):
                x, indices = layer(x)
                self.feature_outputs[i] = x
                self.switch_indices[i] = indices
            else:
                x = layer(x)
                self.feature_outputs[i] = x

        x = x.view(x.size(0), -1)
        x = self.classifier(x)
        return x
net = ZFNet(num_classes=10).to(device)

summary查看网络

我们可以通过summary来看到,模型的维度的变化,这个也是和论文是匹配的,经过层后shape的变化,是否最后也是输出(batch,shape)

summary(net,(2,3,224,224))
==========================================================================================
Layer (type:depth-idx)                   Output Shape              Param #
==========================================================================================
ZFNet                                    [2, 10]                   --
├─Sequential: 1-1                        --                        --
│    └─Conv2d: 2-1                       [2, 96, 110, 110]         14,208
│    └─ReLU: 2-2                         [2, 96, 110, 110]         --
│    └─MaxPool2d: 2-3                    [2, 96, 55, 55]           --
│    └─Conv2d: 2-4                       [2, 256, 26, 26]          614,656
│    └─ReLU: 2-5                         [2, 256, 26, 26]          --
│    └─MaxPool2d: 2-6                    [2, 256, 13, 13]          --
│    └─Conv2d: 2-7                       [2, 384, 13, 13]          885,120
│    └─ReLU: 2-8                         [2, 384, 13, 13]          --
│    └─Conv2d: 2-9                       [2, 384, 13, 13]          1,327,488
│    └─ReLU: 2-10                        [2, 384, 13, 13]          --
│    └─Conv2d: 2-11                      [2, 256, 13, 13]          884,992
│    └─ReLU: 2-12                        [2, 256, 13, 13]          --
│    └─MaxPool2d: 2-13                   [2, 256, 6, 6]            --
├─Sequential: 1-2                        [2, 10]                   --
│    └─Linear: 2-14                      [2, 4096]                 37,752,832
│    └─ReLU: 2-15                        [2, 4096]                 --
│    └─Dropout: 2-16                     [2, 4096]                 --
│    └─Linear: 2-17                      [2, 4096]                 16,781,312
│    └─ReLU: 2-18                        [2, 4096]                 --
│    └─Dropout: 2-19                     [2, 4096]                 --
│    └─Linear: 2-20                      [2, 10]                   40,970
==========================================================================================
Total params: 58,301,578
Trainable params: 58,301,578
Non-trainable params: 0
Total mult-adds (G): 2.33
==========================================================================================
Input size (MB): 1.20
Forward/backward pass size (MB): 24.25
Params size (MB): 233.21
Estimated Total Size (MB): 258.67
==========================================================================================

测试和定义网络

我们也可以打印出我们的模型观察一下

print(net)
ZFNet(
  (features): Sequential(
    (0): Conv2d(3, 96, kernel_size=(7, 7), stride=(2, 2), padding=(1, 1))
    (1): ReLU(inplace=True)
    (2): MaxPool2d(kernel_size=3, stride=2, padding=1, dilation=1, ceil_mode=False)
    (3): Conv2d(96, 256, kernel_size=(5, 5), stride=(2, 2))
    (4): ReLU(inplace=True)
    (5): MaxPool2d(kernel_size=3, stride=2, padding=1, dilation=1, ceil_mode=False)
    (6): Conv2d(256, 384, kernel_size=(3, 3), stride=(1, 1), padding=(1, 1))
    (7): ReLU(inplace=True)
    (8): Conv2d(384, 384, kernel_size=(3, 3), stride=(1, 1), padding=(1, 1))
    (9): ReLU(inplace=True)
    (10): Conv2d(384, 256, kernel_size=(3, 3), stride=(1, 1), padding=(1, 1))
    (11): ReLU(inplace=True)
    (12): MaxPool2d(kernel_size=3, stride=2, padding=0, dilation=1, ceil_mode=False)
  )
  (classifier): Sequential(
    (0): Linear(in_features=9216, out_features=4096, bias=True)
    (1): ReLU(inplace=True)
    (2): Dropout(p=0.5, inplace=False)
    (3): Linear(in_features=4096, out_features=4096, bias=True)
    (4): ReLU(inplace=True)
    (5): Dropout(p=0.5, inplace=False)
    (6): Linear(in_features=4096, out_features=10, bias=True)
  )
)

接下来可以简单测试一下,是否输入后能得到我们的正确的维度shape

test_x = torch.randn(2,3,224,224).to(device)
test_y = net(test_x)
print(test_y.shape)
torch.Size([2, 10])

定义网络和设置类别

net = ZFNet(num_classes=10)

5. 定义损失函数和优化器

pytorch将深度学习中常用的优化方法全部封装在torch.optim之中,所有的优化方法都是继承基类optim.Optimizier

损失函数是封装在神经网络工具箱nn中的,包含很多损失函数

这里我使用的是AdamW算法,并且我们损失函数定义为交叉熵函数,除此之外学习策略定义为动态更新学习率,如果5次迭代后,训练的损失并没有下降,那么我们便会更改学习率,会变为原来的0.5倍,最小降低到0.00001

如果想更加了解优化器和学习率策略的话,可以参考以下资料

这里决定迭代10次

import torch.optim as optim
optimizer = optim.SGD(net.parameters(), lr=1e-3, momentum=0.9, weight_decay=5e-4)
optimizer = optim.AdamW(net.parameters(), lr=1e-3)
criterion = nn.CrossEntropyLoss()
scheduler = optim.lr_scheduler.ReduceLROnPlateau(optimizer, 'min', factor=0.94 ,patience = 1,min_lr = 0.000001) # 动态更新学习率
# scheduler = optim.lr_scheduler.MultiStepLR(optimizer, milestones=[75, 150], gamma=0.5)
import time
epoch = 10

6. 训练及可视化(增加TensorBoard可视化)

首先定义模型保存的位置

import os
if not os.path.exists('./model'):
    os.makedirs('./model')
else:
    print('文件已存在')
save_path = './model/ZFNet.pth'
文件已存在

这次更新了tensorboard的可视化,可以得到更好看的图片,并且能可视化出不错的结果

# 使用tensorboard
from torch.utils.tensorboard import SummaryWriter
os.makedirs("./logs", exist_ok=True)
tbwriter = SummaryWriter(log_dir='./logs/ZFNet', comment='ZFNet')  # 使用tensorboard记录中间输出
tbwriter.add_graph(model= net, input_to_model=torch.randn(size=(2, 3, 224, 224)))

如果存在GPU可以选择使用GPU进行运行,并且可以设置并行运算

if device == 'cuda':
    net.to(device)
    net = nn.DataParallel(net) # 使用并行运算

开始训练

我定义了一个train函数,在train函数中进行一个训练,并保存我们训练后的模型,这一部分一定要注意,这里的utils文件是我个人写的,所以需要下载下来

或者可以参考我们的工具函数篇,我还更新了结果和方法。

from utils import plot_history
from utils import train
Acc, Loss, Lr = train(net, trainloader, testloader, epoch, optimizer, criterion, scheduler, save_path, tbwriter, verbose = True)
Train Epoch 1/10: 100%|██████████| 196/196 [02:18<00:00,  1.41it/s, Train Acc=0.335, Train Loss=1.79]
Test Epoch 1/10: 100%|██████████| 40/40 [00:08<00:00,  4.92it/s, Test Acc=0.465, Test Loss=1.47]


Epoch [  1/ 10]  Train Loss:1.785667  Train Acc:33.51% Test Loss:1.467122  Test Acc:46.50%  Learning Rate:0.001000


Train Epoch 2/10: 100%|██████████| 196/196 [02:18<00:00,  1.42it/s, Train Acc=0.532, Train Loss=1.3] 
Test Epoch 2/10: 100%|██████████| 40/40 [00:08<00:00,  4.96it/s, Test Acc=0.606, Test Loss=1.13]


Epoch [  2/ 10]  Train Loss:1.299966  Train Acc:53.20% Test Loss:1.129006  Test Acc:60.57%  Learning Rate:0.001000


Train Epoch 3/10: 100%|██████████| 196/196 [02:18<00:00,  1.42it/s, Train Acc=0.624, Train Loss=1.06]
Test Epoch 3/10: 100%|██████████| 40/40 [00:08<00:00,  4.96it/s, Test Acc=0.641, Test Loss=1.02] 


Epoch [  3/ 10]  Train Loss:1.061436  Train Acc:62.44% Test Loss:1.019601  Test Acc:64.07%  Learning Rate:0.001000


Train Epoch 4/10: 100%|██████████| 196/196 [02:18<00:00,  1.42it/s, Train Acc=0.682, Train Loss=0.913]
Test Epoch 4/10: 100%|██████████| 40/40 [00:08<00:00,  4.91it/s, Test Acc=0.677, Test Loss=0.94] 


Epoch [  4/ 10]  Train Loss:0.912664  Train Acc:68.17% Test Loss:0.940289  Test Acc:67.74%  Learning Rate:0.001000


Train Epoch 5/10: 100%|██████████| 196/196 [02:18<00:00,  1.42it/s, Train Acc=0.722, Train Loss=0.792]
Test Epoch 5/10: 100%|██████████| 40/40 [00:08<00:00,  4.90it/s, Test Acc=0.716, Test Loss=0.841]


Epoch [  5/ 10]  Train Loss:0.791988  Train Acc:72.17% Test Loss:0.840765  Test Acc:71.60%  Learning Rate:0.001000


Train Epoch 6/10: 100%|██████████| 196/196 [02:18<00:00,  1.41it/s, Train Acc=0.765, Train Loss=0.676]
Test Epoch 6/10: 100%|██████████| 40/40 [00:08<00:00,  4.94it/s, Test Acc=0.704, Test Loss=0.872]


Epoch [  6/ 10]  Train Loss:0.675561  Train Acc:76.46% Test Loss:0.871565  Test Acc:70.39%  Learning Rate:0.001000


Train Epoch 7/10: 100%|██████████| 196/196 [02:18<00:00,  1.42it/s, Train Acc=0.797, Train Loss=0.581]
Test Epoch 7/10: 100%|██████████| 40/40 [00:08<00:00,  4.88it/s, Test Acc=0.716, Test Loss=0.858]


Epoch [  7/ 10]  Train Loss:0.580848  Train Acc:79.69% Test Loss:0.857795  Test Acc:71.61%  Learning Rate:0.001000


Train Epoch 8/10: 100%|██████████| 196/196 [02:18<00:00,  1.41it/s, Train Acc=0.828, Train Loss=0.49] 
Test Epoch 8/10: 100%|██████████| 40/40 [00:08<00:00,  4.87it/s, Test Acc=0.724, Test Loss=0.856]


Epoch [  8/ 10]  Train Loss:0.489913  Train Acc:82.77% Test Loss:0.855748  Test Acc:72.39%  Learning Rate:0.001000


Train Epoch 9/10: 100%|██████████| 196/196 [02:18<00:00,  1.42it/s, Train Acc=0.854, Train Loss=0.418]
Test Epoch 9/10: 100%|██████████| 40/40 [00:08<00:00,  4.94it/s, Test Acc=0.733, Test Loss=0.873]


Epoch [  9/ 10]  Train Loss:0.418106  Train Acc:85.44% Test Loss:0.872757  Test Acc:73.29%  Learning Rate:0.001000


Train Epoch 10/10: 100%|██████████| 196/196 [02:18<00:00,  1.42it/s, Train Acc=0.871, Train Loss=0.367]
Test Epoch 10/10: 100%|██████████| 40/40 [00:08<00:00,  4.92it/s, Test Acc=0.738, Test Loss=0.854]


Epoch [ 10/ 10]  Train Loss:0.367293  Train Acc:87.15% Test Loss:0.853627  Test Acc:73.83%  Learning Rate:0.001000

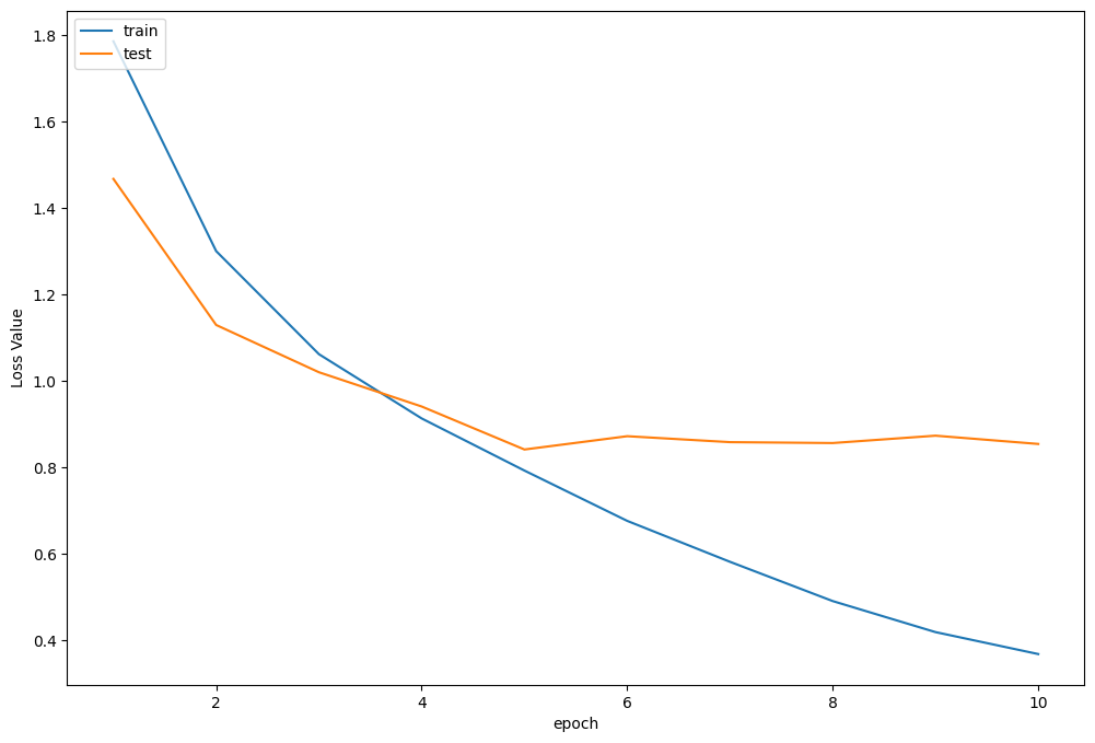
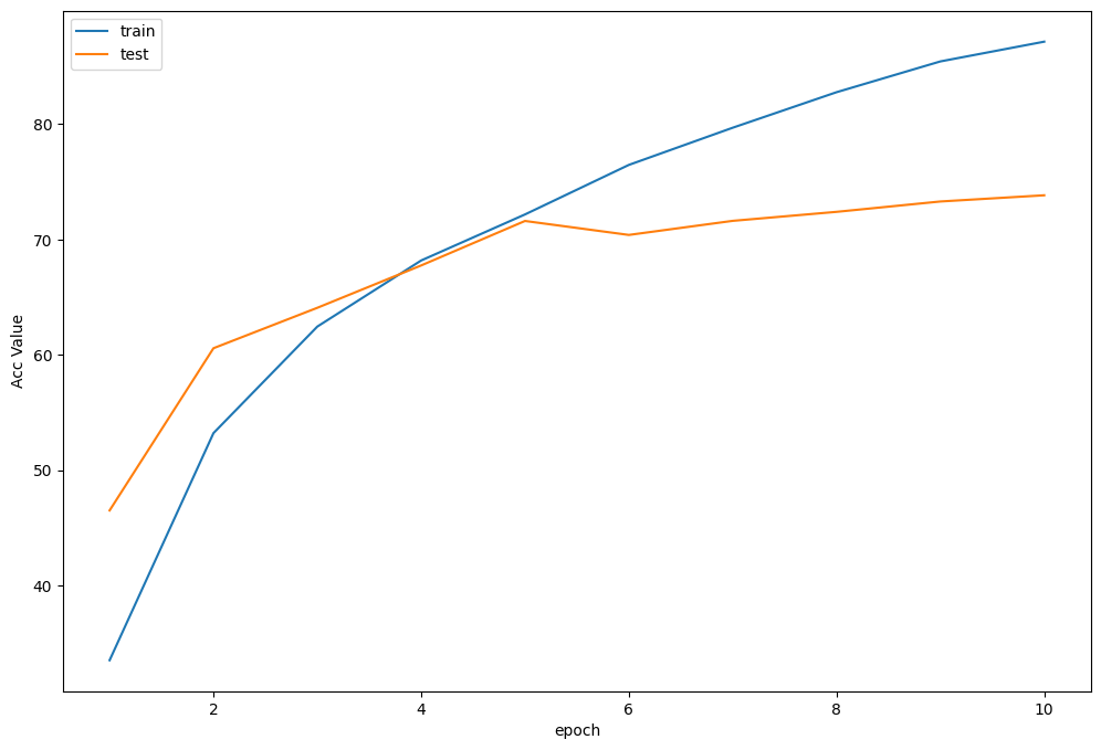
训练曲线可视化

plot_history(epoch ,Acc, Loss, Lr)

在这里插入图片描述

在这里插入图片描述

在这里插入图片描述

可以运行以下代码进行tensorboard可视化

tensorboard --logdir logs

7. 测试

查看准确率

correct = 0   # 定义预测正确的图片数,初始化为0
total = 0     # 总共参与测试的图片数,也初始化为0

for data in testloader:  # 循环每一个batch
    images, labels = data
    images = images.to(device)
    labels = labels.to(device)
    net.eval()  # 把模型转为test模式
    if hasattr(torch.cuda, 'empty_cache'):
        torch.cuda.empty_cache()
    outputs = net(images)  # 输入网络进行测试
    
    # outputs.data是一个4x10张量,将每一行的最大的那一列的值和序号各自组成一个一维张量返回,第一个是值的张量,第二个是序号的张量。
    _, predicted = torch.max(outputs.data, 1)
    total += labels.size(0)          # 更新测试图片的数量
    correct += (predicted == labels).sum() # 更新正确分类的图片的数量

print('Accuracy of the network on the 10000 test images: %.2f %%' % (100 * correct / total))
 
Accuracy of the network on the 10000 test images: 73.95 %

程序中的 torch.max(outputs.data, 1) ,返回一个tuple (元组)

而这里很明显,这个返回的元组的第一个元素是image data,即是最大的 值,第二个元素是label, 即是最大的值 的 索引!我们只需要label(最大值的索引),所以就会有_,predicted这样的赋值语句,表示忽略第一个返回值,把它赋值给 _, 就是舍弃它的意思;

查看每一类的准确率

 # 定义2个存储每类中测试正确的个数的 列表,初始化为0
class_correct = list(0. for i in range(10))
class_total = list(0. for i in range(10))

net.eval()
with torch.no_grad():
    for data in testloader:
        images, labels = data
        images = images.to(device)
        labels = labels.to(device)
        if hasattr(torch.cuda, 'empty_cache'):
            torch.cuda.empty_cache()
        outputs = net(images)

        _, predicted = torch.max(outputs.data, 1)
        #(batch_size)数据中,输出于label相同的,标记为1,否则为0
        c = (predicted == labels).squeeze()
        for i in range(len(images)):      # 因为每个batch都有len(iamges)张图片,所以还需要一个len(iamges)的小循环
            label = labels[i]   # 对各个类的进行各自累加
            class_correct[label] += c[i]
            class_total[label] += 1
 
 
for i in range(10):
    print('Accuracy of %5s : %.2f %%' % (classes[i], 100 * class_correct[i] / class_total[i]))
Accuracy of airplane : 75.30 %
Accuracy of automobile : 83.70 %
Accuracy of  bird : 66.50 %
Accuracy of   cat : 62.10 %
Accuracy of  deer : 66.70 %
Accuracy of   dog : 62.80 %
Accuracy of  frog : 78.50 %
Accuracy of horse : 75.80 %
Accuracy of  ship : 84.20 %
Accuracy of truck : 83.90 %

抽样测试并可视化一部分结果

dataiter = iter(testloader)
images, labels = dataiter.next()

images_,labels = images.to(device),labels.to(device)
val_output = net(images_)

_, val_preds = torch.max(val_output, 1)
correct = torch.sum(val_preds == labels.data).item()
val_preds,labels = val_preds.cpu(),labels.cpu()

print("Accuracy Rate = {}%".format(correct/len(images) * 100))

fig = plt.figure(figsize=(25,25))
for idx in np.arange(64):    
    ax = fig.add_subplot(8, 8, idx+1, xticks=[], yticks=[])
    imshow(images[idx])
    ax.set_title("{}, ({})".format(classes[val_preds[idx].item()], classes[labels[idx].item()]), 
                 color = ("green" if val_preds[idx].item()==labels[idx].item() else "red"))
Accuracy Rate = 75.390625%

在这里插入图片描述

8. 保存模型

这里保存成前面设定的模型的名字

torch.save(net,save_path[:-4]+'_'+str(epoch)+'.pth')

9. 预测

import torch
from PIL import Image
from torch.autograd import Variable
import torch.nn.functional as F
from torchvision import datasets, transforms
import numpy as np
 
device = torch.device('cuda' if torch.cuda.is_available() else 'cpu')

model = ZFNet(num_classes=10)

model = torch.load(save_path, map_location="cpu")  # 加载模型
model.to(device)
model.eval()  # 把模型转为test模式
DataParallel(
  (module): ZFNet(
    (features): Sequential(
      (0): Conv2d(3, 96, kernel_size=(7, 7), stride=(2, 2), padding=(1, 1))
      (1): ReLU(inplace=True)
      (2): MaxPool2d(kernel_size=3, stride=2, padding=1, dilation=1, ceil_mode=False)
      (3): Conv2d(96, 256, kernel_size=(5, 5), stride=(2, 2))
      (4): ReLU(inplace=True)
      (5): MaxPool2d(kernel_size=3, stride=2, padding=1, dilation=1, ceil_mode=False)
      (6): Conv2d(256, 384, kernel_size=(3, 3), stride=(1, 1), padding=(1, 1))
      (7): ReLU(inplace=True)
      (8): Conv2d(384, 384, kernel_size=(3, 3), stride=(1, 1), padding=(1, 1))
      (9): ReLU(inplace=True)
      (10): Conv2d(384, 256, kernel_size=(3, 3), stride=(1, 1), padding=(1, 1))
      (11): ReLU(inplace=True)
      (12): MaxPool2d(kernel_size=3, stride=2, padding=0, dilation=1, ceil_mode=False)
    )
    (classifier): Sequential(
      (0): Linear(in_features=9216, out_features=4096, bias=True)
      (1): ReLU(inplace=True)
      (2): Dropout(p=0.5, inplace=False)
      (3): Linear(in_features=4096, out_features=4096, bias=True)
      (4): ReLU(inplace=True)
      (5): Dropout(p=0.5, inplace=False)
      (6): Linear(in_features=4096, out_features=10, bias=True)
    )
  )
)

并且为了方便,定义了一个predict函数,简单思想就是,先resize成网络使用的shape,然后进行变化tensor输入即可,不过这里有一个点,我们需要对我们的图片也进行transforms,因为我们的训练的时候,对每个图像也是进行了transforms的,所以我们需要保持一致

def predict(img):
    trans = transforms.Compose([transforms.Resize((224,224)),
                            transforms.ToTensor(),
                            transforms.Normalize(mean=(0.5, 0.5, 0.5), 
                                                 std=(0.5, 0.5, 0.5)),
                           ])
 
    img = trans(img)
    img = img.to(device)
    # 图片扩展多一维,因为输入到保存的模型中是4维的[batch_size,通道,长,宽],而普通图片只有三维,[通道,长,宽]
    img = img.unsqueeze(0)  # 扩展后,为[1,3,32,32]
    output = model(img)
    prob = F.softmax(output,dim=1) #prob是10个分类的概率
    print("概率",prob)
    value, predicted = torch.max(output.data, 1)
    print("类别",predicted.item())
    print(value)
    pred_class = classes[predicted.item()]
    print("分类",pred_class)

读取本地图片进行预测

# 读取要预测的图片
img = Image.open("./airplane.jpg").convert('RGB') # 读取图像
img

在这里插入图片描述

predict(img)
概率 tensor([[9.5927e-01, 5.9065e-08, 1.2343e-04, 4.7862e-08, 3.0482e-05, 2.5666e-09,
         3.1685e-10, 1.8276e-08, 4.0574e-02, 1.1254e-07]], device='cuda:0',
       grad_fn=<SoftmaxBackward>)
类别 0
tensor([9.0188], device='cuda:0')
分类 airplane

读取图片地址进行预测

我们也可以通过读取图片的url地址进行预测,这里我找了多个不同的图片进行预测

import requests
from PIL import Image
url = 'https://dss2.bdstatic.com/70cFvnSh_Q1YnxGkpoWK1HF6hhy/it/u=947072664,3925280208&fm=26&gp=0.jpg'
url = 'https://ss0.bdstatic.com/70cFuHSh_Q1YnxGkpoWK1HF6hhy/it/u=2952045457,215279295&fm=26&gp=0.jpg'
url = 'https://ss0.bdstatic.com/70cFvHSh_Q1YnxGkpoWK1HF6hhy/it/u=2838383012,1815030248&fm=26&gp=0.jpg'
url = 'https://gimg2.baidu.com/image_search/src=http%3A%2F%2Fwww.goupuzi.com%2Fnewatt%2FMon_1809%2F1_179223_7463b117c8a2c76.jpg&refer=http%3A%2F%2Fwww.goupuzi.com&app=2002&size=f9999,10000&q=a80&n=0&g=0n&fmt=jpeg?sec=1624346733&t=36ba18326a1e010737f530976201326d'
url = 'https://ss3.bdstatic.com/70cFv8Sh_Q1YnxGkpoWK1HF6hhy/it/u=2799543344,3604342295&fm=224&gp=0.jpg'
response = requests.get(url, stream=True)
print (response)
img = Image.open(response.raw)
img
<Response [200]>

在这里插入图片描述

predict(img)
概率 tensor([[1.0751e-01, 2.7265e-03, 2.4112e-01, 7.8517e-02, 1.0849e-03, 5.0498e-01,
         3.4534e-04, 2.4591e-03, 5.9459e-02, 1.7949e-03]], device='cuda:0',
       grad_fn=<SoftmaxBackward>)
类别 5
tensor([1.9424], device='cuda:0')
分类 dog

可以看到,分类不正确了,对于cat还是分类到了dog,这有可能是我们只迭代了10次的原因,我相信继续调参可能能达到80%以上

10.总结

在这个模型中,其实我们只迭代了10次,ZFNet是基于AlexNet进行改进的,可以看到结果是优于AlexNet,也拿到了ILSVRC 2013的冠军。有时候他更重要的作用是可以利用反卷积的方式可视化其中的卷积核,让我们知其然,并且知其所以然,在XAI领域中,ZFNet也占据着极其重要的地位,有兴趣的同学也可以看看ZFNet这篇经典的论文。

顺带提一句,我们的数据和代码都在我的汇总篇里有说明,如果需要,可以自取

这里再贴一下汇总篇:汇总篇

Logo

技术共进,成长同行——讯飞AI开发者社区

更多推荐