必须导入pakage \usepackage{amsmath}

行内公式

美元符

$a+b=b+a$,如$1+2=2+1$
在这里插入图片描述

小括号

\(a+b=b+a\),如\(1+2=2+1\)
在这里插入图片描述

math环境

	交换律是 \begin{math}
		a+b=b+a
	\end{math} ,如 \begin{math}
		1+2=2+1
	\end{math}

在这里插入图片描述

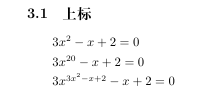
上下标

上标

	$ 3x^2 - x + 2 = 0$	% ^不是对所有的数字都能进行上标处理
	
	$3x^{20} - x + 2 = 0$	% 不支持的可以用{}
	
	$3x^{3x^2 - x + 2} - x + 2 = 0$

在这里插入图片描述

下标

	$a_0, a_1, a_2$	% 用_进行下标处理
	
	$a_0, a_1, a_{200}$	% 用_{}进行下标处理多个字符

在这里插入图片描述

希腊字母

	$\alpha$
	$\beta$
	$\gamma$
	$\epsilon$
	$\pi$
	$\omega$
	
	$\Gamma$
	$\Delta$
	$\Theta$
	$\Pi$
	$\Omega$
	
	$\alpha^3 + \beta^2 + \gamma = 0$

在这里插入图片描述

数学函数

	\section{数学函数}
	$\log$
	$\sin$
	$\cos$
	$\tan$
	$\arcsin$
	$\arccos$
	$\arctan$
	$\ln$
	
	$\sin^2 x + \cos^2 x = 1$
	
	$\sqrt{2}$
	$\sqrt{x^2 + y^2}$
	$\sqrt{2 + \sqrt{2}}$
	$\sqrt[4]{x}$

在这里插入图片描述

分式

	大约是原体积的$3/4$
	大约是原体积的$\frac{3}{4}$

在这里插入图片描述

行间公式

美元符号

交换律是 $$ a+b=b+a$$ 如 $$1+2=2+1$$
在这里插入图片描述

中括号

交换律是 \[a+b=b+a\] 如 \[1+2=2+1\]
在这里插入图片描述

displaymath 环境

	\subsection{displaymath环境}
	交换律是
	\begin{displaymath}
		a+b=b+a
	\end{displaymath}
	如
	\begin{displaymath}
		1+2=2+1
	\end{displaymath}

在这里插入图片描述

自动编号公式equation环境

	交换律见式\ref{ea:commutation}
	\begin{equation}
		a+b=b+a	\label{ea:commutation}
	\end{equation}

在这里插入图片描述

不编号公式equation*环境

	\subsection{不编号公式equation*环境}
	交换律
	\begin{equation*}
		a+b=b+a	\label{ea:commutation}
	\end{equation*}

在这里插入图片描述

Logo

技术共进,成长同行——讯飞AI开发者社区

更多推荐