十种常用二次曲面及其matlab绘制

1.椭球面
在这里插入图片描述

若a=b=c,则为球面
参数方程:

在这里插入图片描述
在这里插入图片描述

2.椭圆锥面
在这里插入图片描述

若a=b,则为圆锥面
参数方程:
在这里插入图片描述

在这里插入图片描述

3.单页双曲面
在这里插入图片描述

参数方程:
在这里插入图片描述

在这里插入图片描述

4.双叶双曲面

在这里插入图片描述

参数方程:

在这里插入图片描述
在这里插入图片描述

5.椭圆抛物面

在这里插入图片描述

参数方程:
在这里插入图片描述
在这里插入图片描述

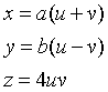
6.双曲抛物面
在这里插入图片描述

参数方程:

在这里插入图片描述

在这里插入图片描述

7.椭圆柱面
在这里插入图片描述

参数方程:
在这里插入图片描述
在这里插入图片描述

8.双曲柱面

在这里插入图片描述

参数方程:

在这里插入图片描述

在这里插入图片描述

9.抛物柱面
在这里插入图片描述

参数方程:

在这里插入图片描述
在这里插入图片描述

10.圆环面
参数方程:
在这里插入图片描述

在这里插入图片描述
代码详见:

https://zhuanlan.zhihu.com/p/393899409

Logo

技术共进,成长同行——讯飞AI开发者社区

更多推荐