BP神经网络(四)——代价函数
神经网络的代价函数,一步步理解并实现全连接神经网络——代价函数的选择。
·
用于分类的代价函数:
神经网络的代价函数一般与线性回归模型和逻辑回归模型的代价函数相同,将神经网络用于分类则采用负的对数似然当作其代价函数,对于回归则采用均方误差作为代价函数。
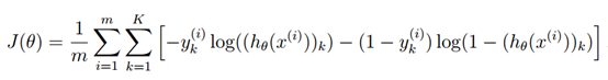
代价方程定义为:
注:m为数据集的数量,K为输出的数量(分类数)。
用于回归的代价函数:
采用均方误差损失函数。
————————————————————————————
补充:
对于损失函数的选择,选择的损失函数能够评估效果即可,不一定选择上面的两种,上面的两种是一般的选择,其实也有很多能够评估效果的其他代价函数,在进行优化时也许会达到更好的效果,需要根据自己的情况进行选择,以达到更佳的效果。
更多推荐
所有评论(0)